CMOS OP放大器的構造、差動放大電路與源極接地電路組合
信息來源:本站 日期:2017-08-22
根本電路是差動放大+源極接地
圖9.1示出最根本的CMOS OP放大器的構造。它是由差動放大電路與源極接地電路組合而成的2級放大OP放大器(2-stage op-amp)。差動放大電路作為OP放大器的輸入級(初級),第2級的源極接地電路兼有輸出級的作用。
普通來說,OP放大器內部設計的差動放大電路或源極接地電路的放大幅度與構成辦法有很大關系。在低頻范圍大約是幾百倍到幾千倍。所以,希望到達幾萬到幾十萬倍以上放人幅度的通用OP放大器,普通都是2級構造。OP放大器為了可以穩定地工作,需求用電容器Cc停止必要的相位補償。
圖9.2所示的2級構造的OP放大器,是將圖9.1中的相位補償電容Cc去掉后的2級放大電路。C1代表初級的輸出(A端)的寄生電容成分。C2是輸出端寄生電容與負載電容CL的總和。圖9.3是這個電路的小信號等效電路。這里的R1是初級(差動放大電路)的輸出電阻,R2是輸出級的輸出電阻,分別由下式給出:

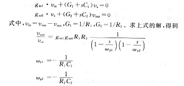
關于圖9.3的小信號等效電路,下式成立:

由此就可以求得電壓增益。這里的Wpl、Wp2表示頻率特性的極點。低頻端的極點叫做第一極點( first pole)或主極點(dominant pole),高頻端的極點叫做第二極點(second pole)或非主極點(non-dominant pole)。