?集成電路設計:MOS器件物理模型-KIA MOS管
信息來源:本站 日期:2022-03-31
MOS器件是模擬集成電路設計的基礎,簡單列舉一下基本知識點:
1、基本器件模型
以下模型是針對長溝器件
圖 1 MOS 器件結構
通過模型導出的器件Model通常是一個四端口網絡,這是在實際器件中襯底也是需要接參考的。
通常NMOS器件襯底接地(或最低電平),相對應PMOS器件襯底接電源(或最高電平)。襯底電壓不同會影響溝道電流。
圖 2 襯底的連接
2、I-V特性
μn為電子遷移率, L為有效溝道長度,VTH為閾值電壓,
Cox為單位面積的柵化層電容。
式子(1) 普遍使用,但一般用于計算三極管區(線性)
式子(2)條件為VDS = VGS- VH。
當VDS > VGS- VTH時,器件工作在飽和區。同時會在溝道形成耗盡區, L- > L'< L。
若L'近似等于L,那么ID與VDS無關,呈“平方律”特性,此時并沒有考慮二次效應的影響。
特殊:當VDS<< VGS- VTH 時,工作在深三極管區。此時可用做線性電阻。
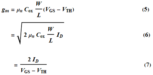
3、跨導
定義:漏電流的變化量除以柵源電壓的變化量
飽和區:
跨導與VGS成正比,與漏極電流的根號成比例
三級管區:
如果器件進入三極管區,跨導將下降。因此,放大應用時,我們通常使MOSFETI作于飽和區。
4、二級效應
體效應/背柵效應:
此種情況就是提到的襯底電勢問題,源襯電勢差變化會引起閾值電壓變化的效應稱為體效應:
為體效應系數。閾值電壓的改變在電路中起著很重要的作用。
溝道長度調制:
柵漏電壓差增大時,實際反型溝道長度逐漸減小。實際的L'為漏源電壓的函數。則修正公式(λ為溝道長度調制系數,溝道越長,其值越小):
溝道長度調制是在設計過程中是不可忽視的問題,尤其是短溝道器件中,除了考慮溝道長度還得考慮載流子遷移率的速度飽和的問題。
亞閾值導電性:
實際上VGS≤VTH時,實際器件并非完全關斷,一個“弱”反型層仍然存在,并有源漏電流,其關系類似二極管是個指數關系:
亞閾值導電性是晶體管的一個重要工作狀態,這表明不能只以簡單的導通和關斷狀態來描述晶體管的工作。同時“弱”反型也提供了另一種電路設計的思路,在大多數電路中也是經常用到這一特性。
速度飽和
載流子遷移率也依賴于溝道區的橫向電場。當電場達到1 V/um時,遷移率開始下降。由于載流子速度v=uE,當電場足夠強時,u會達到一個飽和值,約為l0^7 cm/S。
載流子在整個溝道都達到速度飽和時,漏極電流為:
ID=VSat*WCox(VGS-VTH),此時漏極電流與過驅電壓(VGS-VTH)成線性關系。
MOS器件模型有很多種,精度和復雜度各不相同:
1)Level1 模式就是一般教科書里的MOS模型,簡單便于手工計算推導,只適合長溝器件且精度要求不高時。
2)當溝道長度小于4um時。Level1模型就表現出其缺陷,Level2模型就是為了表征更多的高階效應而建立的。
3)Level3模型對Level2模型的解析表達式進行了簡化,并引入了很多經驗常數,提高了對溝道長度小于1um的器件的模擬精度。
4)BSIM/BSIM2/BSIM3模型:Leve1 - 3模型的特點是通過一些方程式描述器件特性,而這些方程是直接從器件物理導出的。然而,當器件尺寸進入亞微米后,物理意義明確、模型準確、運算效率高的解析式的建立變得困難。BSIM采用一種與其不同的方法:加人大量的經驗參數來簡化這些方程,其不足之處是與器件工作原理失去了聯系。
5)此外還有其他各種模型。
聯系方式:鄒先生
聯系電話:0755-83888366-8022
手機:18123972950
QQ:2880195519
聯系地址:深圳市福田區車公廟天安數碼城天吉大廈CD座5C1
請搜微信公眾號:“KIA半導體”或掃一掃下圖“關注”官方微信公眾號
請“關注”官方微信公眾號:提供 MOS管 技術幫助
免責聲明:本網站部分文章或圖片來源其它出處,如有侵權,請聯系刪除。
